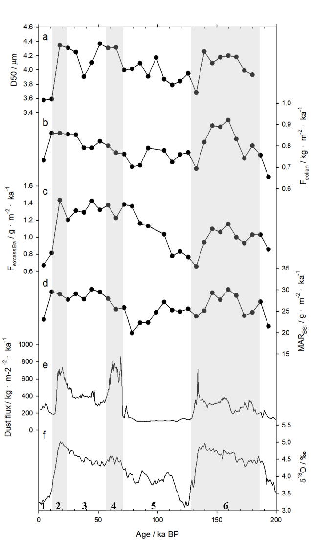
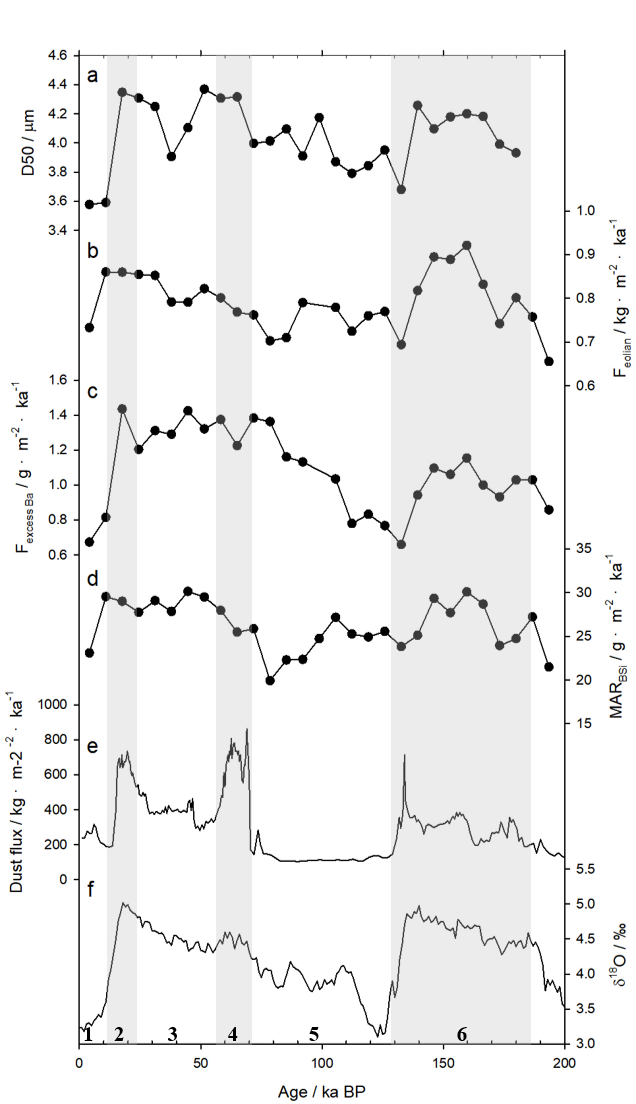
伴随着全球海洋寡营养水体的扩张,了解气候变化和亚热带海域生产力之间的关系显得尤为重要。亚热带西北太平洋位于亚洲下风区,是探讨大气沉降和海洋生产力之间关系的理想场所。本研究对亚热带西北太平洋一个沉积物岩心中常用于古海洋反演的地球化学和同位素指标(TOC, TN, TOC/TN比, δ13CPOC, δ15N, Ti, Cu, Zn, Ba, 生物硅)进行了分析,发现TOC, TN, δ13CPOC, δ15N, Cu和Zn受到了早期成岩作用有机物降解的影响,难以准确揭示古海洋环境的变化。与上述指标不同,中值粒径和经Ti校正后的风沉通量是指示大气沉降强弱的良好指标,过剩Ba和生物硅质量累积通量可有效指示古生产力的变化。研究发现,亚热带西北太平洋的生产力在冰期高于间冰期,主要受到了大气沉降的调控。成果发表在Marine Geology期刊上。论文链接地址https://doi.org/10.1016/j.margeo.2022.106777

距今200 ka亚热带西北太平洋沉积物中值粒径、风成通量、过剩Ba和生物硅的质量累积通量、黄土高原沙尘通量(Guo et al., 2009)和全球海底δ18O记录(Lisiecki and Raymo, 2005)的变化,说明冰期的生产力(灰色)高于间冰期(白色)
(Zifei Yang, Jianyu Ni, Qianna Chen, Minfang Zheng, Yusheng Qiu, Min Chen*. Reliability assessment and paleo-oceanographic signals of geochemical and isotopic indicators in the North Pacific subtropical Gyre. Marine Geology, 2022, 446: 106777.)